接入IPC的联络线并网启动分析
刘修宽, 蒋维勇, 李 娟, 纪延超, 柳 焯
(哈尔滨工业大学电气工程系, 哈尔滨 150001)
摘 要: 对IPC接入电网并联瞬间的启动状态进行了相量分析,推导了并网前发生谐振时各电网参数与IPC参数之间的关系式。模拟东北、华北电网联络线接入IPC并网运行,对并网运行前后的端口电压、联络线电流和IPC电感、电容两端电压和电流状态进行了仿真。详细分析比较了选取不同IPC参数时,对并网前串联谐振问题的抑制程度,提出了一种并网运行的方案。仿真结果表明,可以抑制串联谐振,同时满足电网互联要求。
关键词: 灵活交流输电系统(FACTS); 相间功率控制器(IPC); 电网互联; 相量分析; 串联谐振
Merging Startup Analysis of the Tieline Equipped wi th IPC
LIU Xiukuan, JIANG Weiyong, LI Juan, JI Yanchao, LIU Zhuo
(Harbin Institute of Technology, Harbin 150001, China)
Abstract: In this paper, the instant startup state of network merging is analyzed by vec tor analysis, and the relationship formula between the network and IPC parameter s when the syntony happens before merging is provided. By simulating the merging operation of northeast and north network with IPC equipped on the tieline, th e electric quantities before and after merging such as port voltage of network a nd tieline current, the port voltage and current of IPC inductance and conduct ance were simulated. A new scheme of merging startup operation is presented by comparing the restraining levels of resonance with different IPC parameters. Th e results show that it can effectively control resonance and meet the request of network interconnection.
Key words: FACTS; IPC; interconnection of power system; vect or analyze; syntony in series
1前言
大电网互联是电网发展的趋势,也是国家电力主管部门的目标之一,提高安全性、可靠性是大电网互联技术的关键问题之一。随着现代科学技术的进步,尤其是电力电子技术的飞速发展,传统的电力系统潮流调控手段与电力电子技术相结合,出现了灵活交流输电系统FACTS设施的研究,为现代电力系统的潮流控制技术注入了新的活力。
相间功率控制器(IPC)是一种复合联接的输电型FACTS控制器,该装置的设计是利用将两个不同相的端点经电感、电容联接后,再从中间出线,从而产生控制线路潮流的效果。调节感抗或容抗,可以对IPC所连接线路上的有功和无功功率进行控制。我国在IPC接入电网并联运行问题上作了一定研究,文[1]借助PV曲线解析式求取戴维南等值参数,对复杂电网进行等值简化,便于联网进行计算分析;文[2]对相间功率控制器进行了电路解析;文[3]将IPC自身电抗器和电容器参数与送端和受端电网参数综合起来考察它们总体对IPC运行状况的影响,详细分析了在稳态运行时IPC参数和端口电压、联络线电流和IPC元件两端电压和电流之间的关系,同时指出在联络线开路情况下,可能发生串联谐振,导致电网端口电压及电容器、电抗器两端过电压;文[4]对调谐型相间功率控制器潮流调节能力进行了分析。
本文针对IPC接入电网并联瞬间的启动状态进行了相量分析,推导了并网前发生谐振时各电网参数与IPC参数之间的关系式。详细比较分析了选取不同IPC参数时,对并网前谐振问题的抑制程度。假设在东北绥中、华北姜家营的联络线上装设相间功率控制器IPC,针对东北、华北电网接入IPC并网运行进行了仿真,提出了一种并网运行的方案。
2机理及相量分析
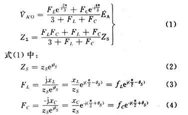
图1中,A、B、C是一个三相电源的三个端点,这个三相电源是控方电网的等值电源。该三相电源的外围,按一定规则连接着三个电感元件和三个电容元件,它们构成相间功率控制器IPC的主体。三相电源和相间功率控制器形成一个出端为A′、B′、C′的控方有源三端网络。其中
为了便于分析,假设FL和FC的模值相等,即fL=fC=f,则有FL+FC=0。

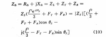
由图
相量图和公式(9)可以看出,并网运行前,联络线开路情况下,当满足条件FL+FC=0时,将发生串联谐振,端口电压
幅值为送端电压EA的
倍,相位落后角度为送端电网的等值阻抗角θs。
含相间功率控制器的控方有源三端网络,当其三相等值电动势和各相等值阻抗得出以后,可以通过联络线将该有源三端网络与对侧系统的等值三相电源联接起来,形成简化电路,假设三相电路对称,可得单相等值电路如图3所示。


设控方主导系数
,为保证控方主导有效性,一般取控方主导系数K>3 ,则有(f2/3-
3并网运行启动状态分析
假设东北电网选取绥中节点,华北电网选取姜家营节点为联网端点,在此基础上进行戴维南 等值参数计算。电压基准值VB取为220kV,视在功率基准值SB取为100MVA(本文中未注明单位均采用标幺值)。东北电网绥中节点通过联络线向华北输送有功功率6.0,输送无功功率1.2,对东北电网进行戴维南等值参数计算,得到等值电势Eeq1为1.108 988,等值电抗幅值Zeq1为0.038 262,等值电抗角度Feq1为79.370 24°。华北电网姜家营节点从联络线接收有功功率6.0,接收无功功率1 .2,对华北电网进行戴维南等值参数计算,得到等值电势Eeq2为1.053 796,等值电抗幅值Zeq2为0.034 969,等值电抗角度Feq2为78.520 365°。
根据公式(12)至(15),其中VB为电压基准值,SB为功率基准值,ZB为电抗基准值,IB为电流基准值,可以按基值算有名值,东北电网戴维南等值电势为 239.75kV,电阻值为3.416Ω,电抗值为 0.057 96H。华北电网戴维南等值电势为233.72kV,电阻值为3.368 5Ω,电抗值为0.052 82H。为了保证联络线潮流满足功率输送要求,同时保证控方主导有效性,取K值为4,计算IPC电抗器值为0.408 6H,电容器值为2.4823E-5F。
根据上述参数对东北、华北电网接入IPC互联进行了数值仿真。图5、6分别为并网前后东北电网绥中节点端口电压波形和电流波形,在tS为0.1s时,东北、华北电网通过联络线并网。IPC电抗器和电容器两端电压和电流波形与其相近。显然,在并网前,由于串联谐振,造成端口电压、电流过高,为正常运行的K倍。同时,由于谐振导致电抗器、电容器两端电压过高,对元器件损害较大,不利于长期安全运行。
4并网启动IPC参数调整
分别适当调整电抗器、电容器值,避开串联谐振点,保证在电网并网前东北电网端口电压、电流和IPC电抗器、电容器两端电压不至于过高。并网成功后,再根据联络线传送功率要求,调整电抗器、电容器数值。
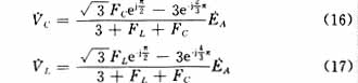
根据式(1)、(16)、(17)计算VA′O、VC、VL。 
表1为电感值0.408 6H保持不变,调整电容器参数的计算结果;表2为电容恒为2.482 3E-05F保持不变,调整电抗器参数的计算结果。



综合考虑端口电压、电容器和电抗器两端电压,当电抗器值为0.408 6H,电容器 值为4.4823E-5F时,VA′O为373.199 2kV,VC为262.258 7kV、VL为474.0551kV, 大电压VC仅为正常运行时EA的1.0939倍,远小于发生串联谐振时的3.99倍。并网启动效果比较理想,避开了串联谐振点。仿真结果如图7、8、9所示。


图7、8、9中,在tS为0.1s时东北、华北电网通过联络线并网,在tS为0.3s时切除部分电容器以满足联络线传送功率要求。可以看出,在并网运行和电容器投切时刻,在端口和电抗器、电容器两端存在瞬间过电压,该暂态过程可以通过将电容投切时间选择在电源电压与电容器预先充电电压相等的时刻,控制电力电子开关元件开通时间和次序等电力电子控制技术进行抑制。
通过上述分析,可以得到一种并网启动方案。先通过东北、华北电网实际数据进行计算分析,得出并网前IPC参数的谐振点,选取合适的电容器、电抗器参数,以避开谐振点,然后通过联络线并网,并网成功后,再适当调整IPC参数,达到联络线输送功率要求。再根据输电功率和两侧电网频率差进行调控。
5结语
通过对东北、华北接入IPC并网启动状态的分析,指出并网时发生串联谐振的问题。通过机理和向量分析对谐振电压和电流之间的关系进行了推理,得到在并网运行前,端口谐振电压为东北电网戴维南等值电势的K倍。
根据东北、华北电网实际数据,分别调节IPC电抗器和电容器值,计算并网前东北电网端口和电容器、电抗器两端电压。分析查找相关参数,得出并网启动前IPC参数,通过调整IPC参数,可以避开串联谐振点。
仿真结果验证,满足电网并网启动要求,对实际并网启动运行具有理论指导意义。此分析结果也同样适用联络线断路情况,在调控中应引起充分重视。
参考文献
[1]王芝茗,王漪,徐敬友,等.关键负荷节点集合电网侧戴维南参数预估[J]. 中国电机工程学报,2002,22(2):16-20
[2]曲祖义,于继来,柳焯.相间功率控制器控制机理的电路解析[J].中国电机工程学报,2001,21(3):37-40
[3]柳焯.相间功率控制器运行状态分析[J].清华大学学报(自然科学版),19 99,39(3):69-71
[4]李娟,纪延超.调谐型相间功率控制器潮流调节能力的分析[J].电力系统及其自动化学报,2002,14(6):52-54