摘 要:以电力系统仿真软件EMTP为例对其历史、计算原理及程序的功能做了较为全面的描述,另外,文中列举当前几种较为流行的电力系统仿真软件及其特点,对于提高电力工作者的工作效率有一定帮助。 关键词: 仿真软件;EMTP
1引言
电力系统仿真就是通过建立适当的数学模型来模拟实际电路的一种研究方法,随着电力系统的不断扩大和网络化,实际电力网络拓扑系统变得越来越复杂,而这时候掌握高效的模拟仿真计算软件也变得越来越重要,随着计算机技术的不断发展,电力系统仿真软件已成为电力系统工作者进行电力系统规划、保护、调度及故障研究的重要工具。为使读者对于电力系统仿真软件有一个全面、清晰的了解,下面以在电力系统应用 为广泛的EMTP为例,介绍其历史、计算原理及程序功能,并介绍当今流行仿真软件的各自特点。
2EMTP介绍
2.1EMTP的历史与现状
电力系统分析程序EMTP是目前国际通用的一种数字程序。它规模大、功能强, 初由加拿大不列颠哥伦比亚大学(UBC)的H.W.Dommel教授创立,又经过很多专家的共同努力而不断完善。美国邦纳维尔电力局(BPA)对程序的开发做了很大的贡献。近年来成立的包括美国、加拿大、日本及欧洲一些国家在内的EMTP联合发展中心(DCG)和在欧洲成立的另一个EMTP用户协会(LEC),都还在为该程序的改进提高和推广进行着大量的工作。EMTP的UBC版本、BPA版本、DCG版本分别为以上机构各自开发的产品[1]。
EMTP发展经历了几十年时间才日趋完整。首先,1960~1963年H.W.Dommel在德国慕尼黑进行电磁暂态分析程序的研究工作,并对单相回路,含元件R、L、C无损线路,一个开关,一个电源,集中参数用梯形积分法,输电线路采用贝杰龙法(即特性线法)等建立相应模型算法。而后到1969年,一些组织和个人的不断介入使程序功能不断得到完善,又建立了多相π输电线路、多相分布参数(包括不同换位情况)和随频率变化特性模型。
1969年4月IEEE PASH.W.Dommel的一篇文章标志着EMTP雏形的完全建立,当时有十多种计算机版本。此后到1973年出现了不少使用组织,除了北美外,还有南美(巴西),欧洲,日本,澳大利亚,印度等,中国台湾大约1980年引入,中国大陆1982年初引入。同时出现了微机版本。大约在1984年,美国EPRI(电力科学研究院)成立了DCG,改用OS/2系统。形成了DCGEMTP。
欧洲一些公司、大学,在欧洲成立了ATPEMTP(微机版本)一直发展到现在,在世界范围内有许多用户,特别是 近开发了ATPdraw,通过绘电路图,在界面上输入数据,借助微机建立数据文件,使用非常方便。但获得ATPEMTP表面上不要费用,但必须买他们的使用手册及相关资料并要写保证书(不做商业目的),才能给你口令,从网上下载。
2.2EMTP的模型与算法原理
电力系统包含有电机、变压器、输电线路、电缆、断路器、电抗器、电容器组、逆变器组、互感器、避雷器等设备,它们结构与功能、特性上千差万别,但从电路的角度来讲,除电源外,总可以用R,L,C(单个或组合,常量或变量)来表征它们的这些功能、特征。如果该系统处于稳定状态下运行,即在某种能量分配状态工作,设备上的电压和电流的关系是确定的,也可以说用上述参数表示某一设备的特性是确定的。但当系统发生能量分配状态改变时,即从一种能量分配状态过渡到另一种能量分配状态,我们说发生了暂态过程—电磁暂态。在电磁暂态过程中,由于储能元件L、C的存在,电压、电流在传输线上的传播,使得某些设备上出现高电压或大电流(即过电压或过电流),给电力系统中电气设备带来危害。研究这一暂态过程称之为电磁暂态。EMTP就是研究这一过程的有效工具。
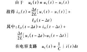
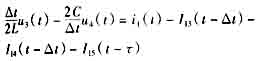
以下通过一节点网络的变换模拟过程简单介绍EMTP基本原理。图1为节点1附近的网络详图,假定前一时刻的电流、电压为已知,要求现在时刻的电流和电压。在任何时刻,从节点1经各支路流出的电流必须等于注入的电流i1。

即节点1有如下关系式:



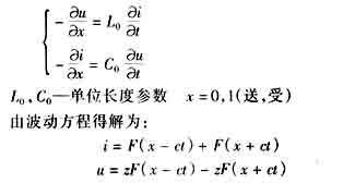
对无损均匀长线,忽略R0、G0时为


如果x-ct=常数,则u+zi=常数
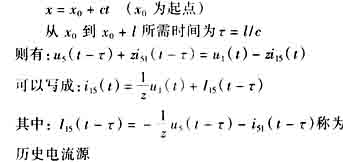
其含义为:如果观察者沿线以速度c运动,则时间为t时它走了:




式中i1(t)也可以是零。
经过上述等值处理,对任何复杂的电网都可以变为只包含电源,电阻性元件,可能还有开关的等值网络。这样就可以依据电路定律得到下面的公式,用离散的时间间隔,求解整个暂态的过程。
整个等值网络的导纳方程式为:
[Y][u(t)]=[i(t)]-[I]
其中:[Y]为节点导纳矩阵;
[u(t)]为n节点电压列向量;
[i(t)]为电流源列向量;

2.3EMTP的功能
EMTP可用来计算单相或多相网络如:
(1)某一频率电源作用下的线性系统相量值,即可计算电力系统中的工频过电压;稳态值的计算可作为电磁暂态计算的初始条件。
(2)程序自动地用步长Δf由fmin到fmax电源频率的变化,求解某一网络的自振频率。
(3)能计算电路网络的暂态过程。
(4)可求解各种非线性网络。
EMTP允许模拟下列网络元件任意组合的网络:

4)多相π—网络,这时前述的标量R、L、C变成矩阵[R]、[L]、[C]。

5)波在换位或不换位的分布参数输电线路上传播的线路,线路可分为无损耗、集中参数电阻、频率特性等类型。
6)具有单值单调增的非线性电阻。
7)具有单值单调增的非线性电感。


9)具有各类型的开关(时控,气控等),可模拟断路器、间隙放电、以及网络联接的变化。
10)电压源和电流源。除了标准函数表达式的电源(正弦脉冲阶、跃斜角等十多种函数)外,用户可以通过逐点给出随时间变化的函数,来确定电源。
程序的输出电压、电流、功率(能量),以及开关的动作时间。程序的内存单元是可以重新定位的。电磁暂态的初始值可以自动地由程序决定,也可以人为地送入,或二者结合。
由上述可知EMTP是一种进行电力系统仿真的强大工具,其对研究对象的限制微乎其微,可以用来求解电力系统单相或多相的稳态解与各种类型的暂态解,它可以包含有多个集中元件、分布参数、线性与非线性元件、依赖于频率变化的线路[2]、各类型开关、电力电子元件[3][4]、变压器[5]及电机、多种类型电源、控制电路的任意组合而成的不同网络结构。并且根据电网建立起来有很多零元素的导纳矩阵,程序使用了稀疏矩阵技术,不但简化了计算,而且大幅度减少了存储单元及计算时间。总而言之,它不仅用来研究电力系统的电磁暂态过程,而且可以用来求解一般的电气电子线路,以及能等价地用电气电路来分析任何问题,都可以用EMTP来求解。近年来EMTP与实测结果的对比吻合,也证明了其计算结果的可信性。
3当今流行的电力系统仿真软件
除了以上介绍的EMTP外,当今比较流行的电力系统仿真软件还有德国西门子公司开发的NETOMAC软件,美国电力公司(PTI)开发的PSS/E(Power System Simulator for Engineering),Mathworks公司开发的MATLAB(大于5.2版本)中所包含的Power System Blockset(PSB)工具箱,以及中国电力科学院给出的基于DOS系统的电力系统潮流,暂态稳定和短路电流计算的仿真软件PSASP[6上述几种软件各有各的特点:
1)EMTP和NETOMAC都是世界范围通用的电力系统仿真软件,其特点为计算速度快、结果准确度高、功能强大,几乎可以对任何复杂电力网络进行模拟。
2)PSS/E是一个集成化的交互式软件,主要用于电力系统的潮流计算,界面友好,可与多种输出设备相连,输入输出可根据用户要求进行设计,它要求使用者有一定的编程基础,输入不如EMTP和PSASP方便[7]。
3)PSB特点为可以对复杂的控制方法进行仿真,如神经网络、模糊控制、鲁棒特性等,而且界面相当友好,有在线帮助等功能,但其运算速度比其它软件要慢。
4)PSASP特点在于其使用简单,功能简单齐全,但计算模式有局限性,不易进行复杂模型的算法仿真。
参考文献
[1][加拿大]Dommel H W著,李永庄,林集明,曾昭华译.电力系统电磁暂态计算理论[M].北京:水力电力出版社,1991.
[2]Dufour C,LeHuy H.Highly accurate modeling of frequencydependent balanced transmission lines[J]. IEEE T POWER DELIVER, APR 2000,15(2):610615.
[3]Chida T, Sato Y,Sugawara J, et al. Simulation study of unified power flowcontroller[J]. ELECTR ENG JPN, 1999,127(1):2330.
[4]Han BM, Karady GG, Park JK, et al. Interaction analysis model for transmission static compensator with EMTP[J]. IEEE T POWER DELIVER, OCT 1998,13(4):12971302.
[5]Tziouvaras DA, McLaren P,Alexander G,et al.Mathematical models for current, voltage, and coupling capacitor voltage transformers[J]. IEEE T POWER DELIVER, JAN2000, 15(1):6272.
[6]陆超,唐义良,等.仿真软件MATLAB PSB与PSASP模型及仿真分析[J].电力系统自动化,2000,(5).
[7]张扬,陆承宇,杜振东.电力系统仿真软件PSS/E简介[J].华东电力,1997,(1).